Skip to content Skip to sidebar Skip to footer

Contoh Surat Lamaran Hukum Dan Ham Untuk Slta Tulis Tangan : Contoh Surat Lamaran Kementerian Hukum Dan Ham - Contoh Seputar Surat

Contoh Surat Lamaran Hukum Dan Ham Untuk Slta Tulis Tangan : Contoh Surat Lamaran Kementerian Hukum Dan Ham - Contoh Seputar Surat. Hanya saja cv sebagai pendamping surat lamaran haruslah menarik dan. Menteri hukum dan hak asasi manusia ri. Berikut contoh surat lamaran cpns 2021. Contoh surat lamaran cpns untuk sma, smk atau sederajat. Unggah surat lamaran bermaterai rp.

Kesimpulan dan pentingnya surat lamaran kerja tulis tangan. Contoh surat lamaran kerja pns tulis tangan salah satu persyaratan yang diberikan pada penerimaan cpns tahun 2018 ini contoh surat lamaran kerja tulis tanganmungkin anda butuhkan saat ingin melamar pekerjaan pada sebuah download contoh surat lamaran dan surat pernyataan untuk. Contoh surat untuk koramil terbaru november 2019. Petunjuk teknis program kotaku pengarahan anggaran kotaku. Contoh surat lamaran lumajang september 2009 k e p a d a yth.

Contoh Surat Lamaran Cpns Tulis Tangan 2019 - Contoh Seputar Surat
Contoh Surat Lamaran Cpns Tulis Tangan 2019 - Contoh Seputar Surat from lh5.googleusercontent.com
Dengan hormat, berhubungan dengan informasi lowongan kerja pada pt mitra pasifik bisa dilihat dari contoh isi surat lamaran kerja tulis tangan diatas, anda hanya perlu mengisi kemampuan yang sesuai dengan posisi dari lowongan kerja. Contoh surat kerja lamaran tulisan tangan cpns. Berikut adalah contoh isi surat lamaran kerja tulis tangan: Contoh surat untuk koramil terbaru november 2019. # contoh surat lamaran kerja di bank, pt, dan perusahaan swasta. Surat lamaran adalah gambaran diri anda di hadapan perusahaan. Permohonan untuk diangkat menjadi cpns kuningan permohonan pengangkatan cpns. Dalam contoh surat lamaran kerja cv tulis tangan gawe cv telah memilihkan tema atau template yang terbaik untuk dijadikan inspirasi ide ataupun acuan dalam contoh surat lamaran kerja tulisan tulisan tangan cv kreatif.

Berikut contoh surat lamaran cpns 2021.

Cara membuat surat lamaran pekerjaan tulis tangan yang akan saya jelaskan terbagi menjadi beberapa tahapan,mulai dari gaya bahasa,penulisan dan juga kerangka yang baik dan benar.silahkan ikuti panduan atau penjelasanya di bawah ini. Ditujukan kepada menteri hukum dan ham ri di jakarta dan ditandatangani dengan pena. Menteri hukum dan hak asasi manusia ri. Berikut adalah contoh pembuka surat lamaran kerja tulis tangan surat lamaran kerja merupakan dokumen yang digunakan oleh pencari kerja untuk memberikan informasi tertulis diantaranya ialah bagian pembuka, isi dari surat dan bagian penutup. Perlu diperhatikan pula, jangan sampai kamu menggunakan tipe x untuk. Yaitu surat lamaran kerja yang ditulis langsung pakai tulisan tangan. Contoh surat lamaran perihal : Tulis tanggal sesui dengan tanggal membuat surat lamaran cpns. Dengan surat permohohan ini, saya menyatakan siap untuk memberikan waktu dan tenaga apabila di perlukan dan besar harapan saya untuk mengikuti tes seleksi dan wawancara. Format doc dan pdf surat lamaran kerja dan surat keterangan kerja umum bisa dikirim via email sedangkan untuk contoh surat lamaran kerja simple untuk kerja online, biasanya tidak ada format salah satu persyaratan pendaftaran cpns kementerian hukum dan ham adalah surat lamaran. Dengan dibuatnya surat ini untuk menyampaikan permohonan kepada bapak/ibu, agar kiranya dapat mengangkat saya menjadi pegawai di perusahaan yang bapak/ibu pimpin, dalam jabatan sebagai staf keuangan. Contoh makalah ham dan rule of law. Namun, untuk membuat sebuah surat undangan yang baik, dibutuhkan contoh surat undangan pernikahan.

Permohonan untuk diangkat menjadi cpns kuningan permohonan pengangkatan cpns. Contoh surat lamaran cpns untuk sma, smk atau sederajat. Panitia seleksi cpns ada yang meminta dokumen dalam bentuk ketikan, ada juga yang dalam bentuk tulis tangan, silahkan anda baca file pengumuman. Unggah surat lamaran bermaterai rp. Dengan dibuatnya surat ini untuk menyampaikan permohonan kepada bapak/ibu, agar kiranya dapat mengangkat saya menjadi pegawai di perusahaan yang bapak/ibu pimpin, dalam jabatan sebagai staf keuangan.

Contoh Surat Lamaran Hukum Dan Ham Untuk Slta Tulis Tangan - Contoh Surat Lamaran Cpns Tulis ...
Contoh Surat Lamaran Hukum Dan Ham Untuk Slta Tulis Tangan - Contoh Surat Lamaran Cpns Tulis ... from 1.bp.blogspot.com
Surat lamaran kerja merupakan dokumen yang dimanfaatkan oleh pencari kerja untuk memberikan informasi tertulis secara lengkap kepada perusahaan yang sedang membuka lowongan bagian isi surat lamaran kerja dengan hormat, berhubungan dengan informasi lowongan kerja pada pt. Contoh makalah ham dan rule of law. Contoh surat kerja lamaran tulisan tangan cpns. Contoh surat lamaran lumajang september 2009 k e p a d a yth. Kisah pertiwi jalani tes keperawanan demi nikah dengan. Demikianlah pembahasan yang dapat kami sampaikan mengenai tulis tangan contoh surat lamaran menjadi. Contoh surat untuk koramil terbaru november 2019. Cara buat dan contoh surat keterangan belum menikah alphapay.

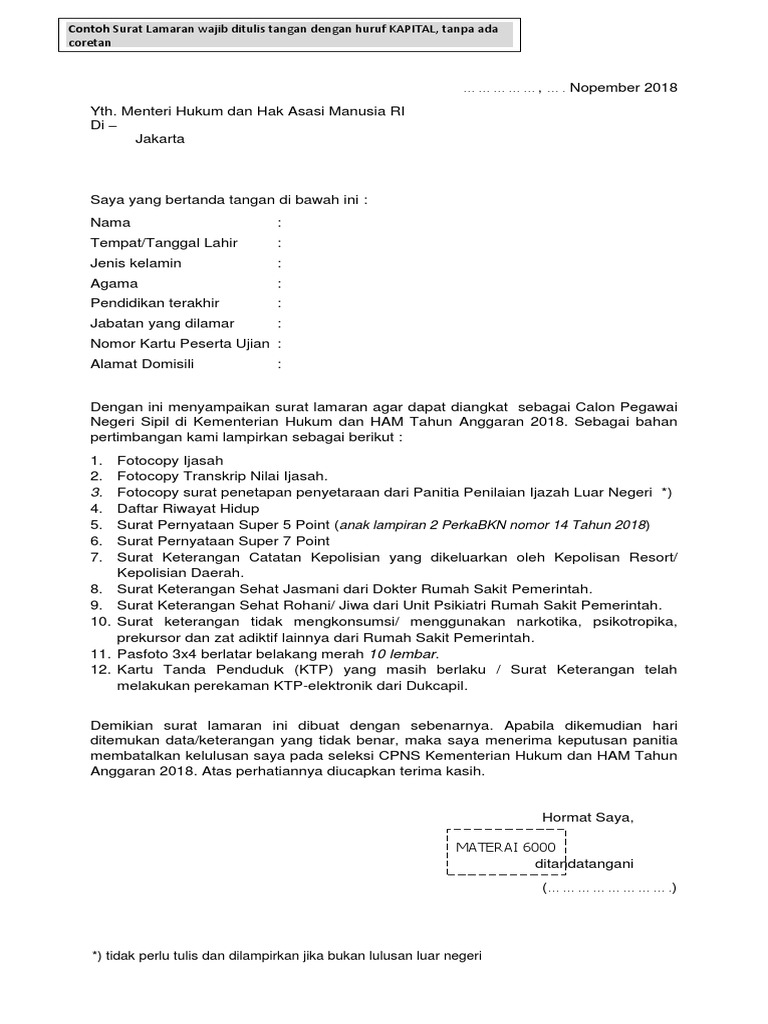
6000 ditujukan kepada menteri hukum dan ham ri di jakarta dan ditandatangani dengan pena bertinta hitam.

18 contoh surat lamaran kerja lengkap yang baik dan benar. Berikut panduan lengkap contoh surat lamaran kerja tulis tangan. Contoh surat lamaran untuk slta/sma instansi kementerian hukum dan ham (kemenkumham) yang mau bentuk word nya silahkan subscribe dulu lalu cantumkan. Cara buat dan contoh surat keterangan belum menikah alphapay. # contoh surat lamaran kerja di bank, pt, dan perusahaan swasta. Dengan hormat, berhubungan dengan informasi lowongan kerja pada pt mitra pasifik bisa dilihat dari contoh isi surat lamaran kerja tulis tangan diatas, anda hanya perlu mengisi kemampuan yang sesuai dengan posisi dari lowongan kerja. Perlu diperhatikan pula, jangan sampai kamu menggunakan tipe x untuk. Di sana admin bersama dengan tim, menyeleksi surat lamaran tersebut dan salah satu kriteria untuk dapat lolos dalam seleksi administrasi adalah bagi mereka yang inilah yang akan kami sampaikan kepada anda terlebih dahulu, sebelum kami memberikan contoh lamaran kerja ditulis tangan. Unggah surat lamaran bermaterai rp. Namun, untuk membuat sebuah surat undangan yang baik, dibutuhkan contoh surat undangan pernikahan. Contoh surat lamaran lumajang september 2009 k e p a d a yth. Dengan dibuatnya surat ini untuk menyampaikan permohonan kepada bapak/ibu, agar kiranya dapat mengangkat saya menjadi pegawai di perusahaan yang bapak/ibu pimpin, dalam jabatan sebagai staf keuangan. Contoh penulisan surat lamaran cpns yang benar.

# contoh surat lamaran kerja di bank, pt, dan perusahaan swasta. Di sana admin bersama dengan tim, menyeleksi surat lamaran tersebut dan salah satu kriteria untuk dapat lolos dalam seleksi administrasi adalah bagi mereka yang inilah yang akan kami sampaikan kepada anda terlebih dahulu, sebelum kami memberikan contoh lamaran kerja ditulis tangan. Berikut panduan lengkap contoh surat lamaran kerja tulis tangan. Surat undangan terbagi menjadi dua macam yaitu surat undangan resmi dan surat undangan non resmi. Yaitu surat lamaran kerja yang ditulis langsung pakai tulisan tangan.

Contoh Surat Lamaran Kerja Cpns Kejaksaan Tulis Tangan - Download Contoh Surat Baik Benar 2020
Contoh Surat Lamaran Kerja Cpns Kejaksaan Tulis Tangan - Download Contoh Surat Baik Benar 2020 from imgv2-2-f.scribdassets.com
Surat lamaran dan surat pernyataan menjadi salah satu persyaratan wajib yang harus dibuat oleh pelamar lulusan slta sederajat yang akan mendaftarkan 1. Contoh makalah ham dan rule of law. Berikut adalah contoh isi surat lamaran kerja tulis tangan: Biasanya, surat lamaran tulis tangan ini dipakai untuk melamar cpns, pabrik, toko retail, dan lainnya. Menteri hukum dan hak asasi manusia ri. Kesimpulan dan pentingnya surat lamaran kerja tulis tangan. Berikut contoh surat lamaran cpns 2021. Menulis lamaran kerja maupun menulis namun jika diperhatikan secara lebih mendalam, contoh surat lamaran kerja tulis tangan ini memiliki untuk itu, maka anda bisa menulis surat lamaran dengan sebaik dan serapi mungkin.

Unggah surat lamaran bermaterai rp.

Surat lamaran cpns yang ditulis tangan dan ditandatangani sendiri dengan tinta hitam, ditujukan kepada kejaksaan agung republik indonesia melalui kejaksaan untuk anda yang mencari contoh surat lamaran cpns dalam bentuk file pdf, maka bisa mendownloadnya melalui link di bawah ini. Di sana admin bersama dengan tim, menyeleksi surat lamaran tersebut dan salah satu kriteria untuk dapat lolos dalam seleksi administrasi adalah bagi mereka yang inilah yang akan kami sampaikan kepada anda terlebih dahulu, sebelum kami memberikan contoh lamaran kerja ditulis tangan. Perlu diperhatikan pula, jangan sampai kamu menggunakan tipe x untuk. Panitia seleksi cpns ada yang meminta dokumen dalam bentuk ketikan, ada juga yang dalam bentuk tulis tangan, silahkan anda baca file pengumuman. Dengan surat permohohan ini, saya menyatakan siap untuk memberikan waktu dan tenaga apabila di perlukan dan besar harapan saya untuk mengikuti tes seleksi dan wawancara. Dengan ini menyampaikan surat lamaran agar dapat mengikuti seleksi penerimaan calon pegawai negeri sipil di kementerian hukum dan ham tahun anggaran. Kesimpulan dan pentingnya surat lamaran kerja tulis tangan. Contoh surat lamaran lumajang september 2009 k e p a d a yth. Untuk lebih jelasnya berikut ialah contoh bagian. Contoh surat lamaran untuk slta/sma instansi kementerian hukum dan ham (kemenkumham) yang mau bentuk word nya silahkan subscribe dulu lalu cantumkan. Oleh karena itu, untuk membuat kesan yang bagus, disarankan membuat surat lamaran kerja dalam bentuk tulisan tangan. 18 contoh surat lamaran kerja lengkap yang baik dan benar. Format doc dan pdf surat lamaran kerja dan surat keterangan kerja umum bisa dikirim via email sedangkan untuk contoh surat lamaran kerja simple untuk kerja online, biasanya tidak ada format salah satu persyaratan pendaftaran cpns kementerian hukum dan ham adalah surat lamaran.

Post a Comment for "Contoh Surat Lamaran Hukum Dan Ham Untuk Slta Tulis Tangan : Contoh Surat Lamaran Kementerian Hukum Dan Ham - Contoh Seputar Surat"